E-journal #7: The Fundamental Theorem of Calculus

Going into MAAHL, the idea of learning Calculus in depth freaked me out. Yet, in the process of learning it, I think I actually prefer it over other topics. Through this e-journal, I plan to explain the concepts of calculus as simply as possible – keeping in mind that my aim is to make sure you understand. Yes you!

Let us begin!

This image has an empty alt attribute; its file name is integral_calculus_0002.gif

I want to find the area shaded in yellow. But it’s not exactly a triangle. I also cannot fit any combination of polygons or circles to perfectly fit this area. So what do we do?

We use the concept of Integration!

Wow that’s a big word! No it’s really not. Integration is defined as the process of summing parts to find a whole.

Let me demonstrate this! Imagine we have this curve, and we want to find the area enclosed by it (Awada et al., 2019).

Figure 1: Arbitrary function to show the application of Riemann’s Sum

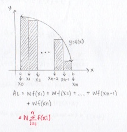
1. We divide the curve into 4 strips with equal widths. Each with the width of 1 unit.

Figure 2: Diving the area under the curve into 4 subintervals

Using a calculator, the exact area, A= 42.66666666666667 units^2

2. Then we can draw lower rectangles: rectangles with heights equal to the lower value of the function at the endpoints of the subinterval. (Al)

Figure 3: Using the Lower Riemann Integral

Al= (1)f(0)+(1)f(1)+(1)f(2)+(1)f(3)= 34 units^2

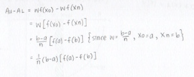
3. Then we can draw upper rectangles: rectangles with heights equal to the upper value of the function at the endpoints of the subinterval. (Au)

Figure 4: Using the Upper Riemann Integral

Au= (1)f(1)+(1)f(2)+(1)f(3)+(1)f(4)= 34 units^2

We observe that Al < A < Au

But the answers in both Al and Au are far from the exact area. So how do we increase the accuracy of our answers? We create more subintervals. Let me demonstrate this using Au.

Figure 5: 20 RECTANGLES. Au=44.24
Figure 6: 40 RECTANGLES. Au=43.26
Figure 7: 50 RECTANGLES. Au=43.3024
Figure 8: 80 RECTANGLES. Au=43.065

Do you see how increasing the number of rectangles will cause the Au to get closer and closer to the exact area? The value of Al and Au converges to A, as the number of subintervals (rectangles) increases or approaches infinity.

P.S. you can try this with different functions and it should still work. (ex. increasing function)

This is called the Riemann Integral. Au is the Upper Riemann Integral, while Al is the Lower Riemann Integral. So far, it’s not too bad isn’t it?

Let us try generalising the concept of Riemann Integral so that it can be applied to all types of functions!

Figure 9: Calculation for Al
Figure 10: Calculation for Au
This image has an empty alt attribute; its file name is screen-shot-2020-10-30-at-21.21.01-1.png
This image has an empty alt attribute; its file name is screen-shot-2020-10-30-at-21.21.15-1.png
Figure 11: Solving for A (Haese, Humphries, Sangwin, & Vo, 2019).

As seen previously, Riemann’s Sum relates the concept of integration with limits. However, this takes a while to solve. Fortunately, besides limits, integration is actually deeply connected with the concept of differentiation.

Sounds more intimidating, but it actually makes life way easier!


The Fundamental Theorem of Calculus

“the link between differential calculus and the definite integral” (It was discovered by both Sir Isaac Newton and Gottfried Wilhelm Leibniz)

The Fundamental Theorem of Calculus Part 1 – Establishing the relationship

This image has an empty alt attribute; its file name is screen-shot-2020-10-27-at-23.38.56.png
Figure 12: Fundamental Theorem of Calculus Part 1 (Strang & Herman, 2020)

Let’s use the concept of area function to prove this.

Area function A(x): a function that describes an area of some region based on some variable.

This image has an empty alt attribute; its file name is 219733.image0-1.jpg
Figure 13: Area Function (Zegarelli, 2012)

t=s is a vertical line

t=x is a movable vertical line, and dragging it increases the area under the curve

Therefore, the area function is a function of x (relative to x) – written as A(x). [in general: a function of the movable line]

The theorem defines this area function as the antiderivative of f(x) (the y value of the function f(t) at t=x).

so, A(x) = F(x)

This simplifies calculations because we do not have to find the area using Riemann’s integral. However, how do we prove that this can be done?

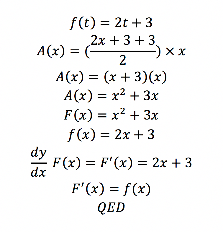
This image has an empty alt attribute; its file name is screen-shot-2020-10-30-at-14.24.56.png
Figure 14: Graph of 2t+3
Figure 15: Proving that F'(x)=f(x)

This part of the theorem also guarantees that any continuous function has an antiderivative. Remember that t=x is a movable line along the function, so any particular point of the function can undergo anti-differentiation.

Note: The notations in the equation is rewriting our discovery of Riemann’s sum using integral notation. Where the “stylish S” means the sum and the “dt” means the infinitesimally small change in t, which captures the concept of taking the limit of smaller and smaller intervals to calculate the area as accurately as possible.


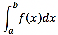
The Fundamental Theorem of Calculus Part 2 – The Evaluation Theorem

This part is one of the most important theorem in calculus. It may seem intimidating, but the proving is very similar to that of the first part. It’s just our boundaries change from 0 and x to a and b. Also, we will prove that this is applicable to other functions besides linear ones.

This image has an empty alt attribute; its file name is screen-shot-2020-10-27-at-23.41.09.png
Figure 16: Fundamental Theorem of Calculus Part 2 (Strang & Herman, 2020)

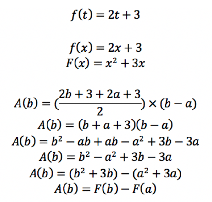
We will start by exploring using linear graphs. Particularly, the same linear graph as the one in part 1.

Figure 17: Graph of 2t+3
Figure 18: Proving that A(b)=F(b)-F(a)

We know from the exploration in Riemann’s integral that the area under the curve is equal to , therefore this theorem is true for linear functions.

What about those that are curved? Will this concept apply as well? Let us use a general curved function prove this. We want to find the area of the narrow green strip.

This image has an empty alt attribute; its file name is screen-shot-2020-10-30-at-21.27.02.png
Figure 19: Proving using curved functions (Haese, Humphries, Sangwin, & Vo, 2019).

Let me explain what’s happening. We know the formula of the exact area from previous explorations (Riemann’s sum and part 1 of the theorem). We also know from Riemann’s sum that the exact area of the strip will be between a lower and an upper rectangle.

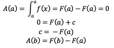
Dividing everything by “h” and allowing h to approach 0, we get the derivative of A'(x) = f(x). (first principle)

Integrating both sides, we obtain A(x) = F(x) + c

Now let us solve for the constant c to prove that this theorem is true

This image has an empty alt attribute; its file name is screen-shot-2020-10-30-at-21.38.12.png
Figure 20: Calculations continued (Haese, Humphries, Sangwin, & Vo, 2019).

Hope you learnt something from my blog! Thank you for reading 😀

Real Life Application

So far, from peer presentations, I learnt that integration is very useful in the mechanics, physics, maths world. For example, it can calculate moments of inertia. Yet, i was curious if they are actually used in others aspects besides those – and yes, they are.

Economics. I discovered that integration is used by economists in one of economics classes. There is this curve called the Lorenz curve, which is used to represent income inequality. In determining the number of people earning a certain amount of money, the area under the curve is calculated using Integration.

Pharmacokinetics (study of drug absorption). The definite integral is used to measure the drug concentration in the blood plasma as a function of time(Grogan, 2020).

International Mindedness

Antipon from ancient greek was the first to explore the concepts of integration – particularly the method of exhaustion, but it was not clear whether he fully understood the concept (Foresta & Goldman). He inscribed a polygon inside a circle to find the area of the circle. Doubling the number of sides of the polygon, he found that the approximated area because more and more accurate.

Throughout history, several methods of integration was proposed, including the method of indivisible by Italian mathematician Bonaventura Cavalieri. The idea of dividing the area under the curve into smaller and smaller strips was first suggested by him (Haese, Humphries, Sangwin, & Vo, 2019).

However, these methods lack geometric involvement in the calculations. Eventually, it was Sir Isaac Newton and Gottfried Wilhelm Leibniz who are credited for the discovery of integration. They discovered the concepts at similar times and plagiarism was suspected, but now it has been confirmed that they both independently discovered integration (Rosenthal, 1951). At that time, the concepts of limits were not introduced yet, so Newton resorted to fluxion, while Leibniz used the integration notation (mathcam, 2013).

It was only when Bernard Riemann involved the concepts of limit into integral calculus that the concept was formalised. This is now referred to as Riemann Integral.

IB Learner Profile

Inquirers: I was genuinely confused in the beginning, but I wanted to make sure that I understood how the theorem was created. I read the textbook and watched several videos in the proof of the Fundamental Theorem of Calculus. Then, I used the function from the toolkit to apply my understanding.

Balanced: I didn’t finish the blog in one to two sittings, instead I did small parts of it in multiple sittings. I balanced my personal life including spending time with my family and also doing other school work to make sure that I am not doing this e-journal just to get it done with. I realised that this way, I really enjoyed doing this e-journal.

Communicator: I wrote my blog as if I was talking to a person because to make sure that I understood the concept, I have to be able to teach it to someone else. I also included diagrams and bolded key words to make the blog easier to read. Most importantly, communication was really important during the toolkit presentation.

Reflective: After reading or watching the video. I thought I understood the theorem fully, but it was only after applying the concept to my own graph that I realised I was still confused. I studied about the topic again to see where my confusion started and fill up the knowledge gaps. At the end, I read the blog once again (on a different day) to make sure everything flows smoothly.

Principled: I am relatively weak in this subject and everything in this blog came from the combined explanation of different sources. Mostly coming from the IB MAAHL textbook. I enjoyed phrasing the concepts differently and understanding them using my own examples. I believe I have credited all the authors of the sources because I think that claiming other people’s work is not ethical.

Risk-taker: I could have played it safe and used an increasing function to explain the theorems just as the sources did, but I decided to use a decreasing function just for fun. It wasn’t a big risk, but i think that it’s worth noting.

Bibliography

Awada, N., Belcher, P., Wathall, J. C., Duxbury, P., Forrest, J., Halsey, T., . . . Torres-Skoumal, M. (2019). Mathematics: Analysis and Approaches: Higher level: Course companion. Oxford: Oxford University Press.

Foresta, S., & Goldman , L. (n.d.). Principia Mathematica Historallis Integratus. Retrieved from CiteSeerx: https://citeseerx.ist.psu.edu/viewdoc/download?doi=10.1.1.127.5435&rep=rep1&type=pdf

Grogan, S. (2020, October 15). Pharmacokinetics. Retrieved October 31, 2020, from https://www.ncbi.nlm.nih.gov/books/NBK557744/

Haese, M., Humphries, M., Sangwin, C., & Vo, N. (2019). Mathematics Analysis and Approaches HL 2. Australia: Haese mathematics.

mathcam. (2013, March 22). Leibniz Notation. Retrieved from Planet Math: https://planetmath.org/leibniznotation

Rosenthal, A. (1951). The History of Calculus. The American Mathematical Monthly,58(2), 75-86. doi:10.2307/2308368

Strang, G., & Herman, E. (2020, July 27). 5.3: The Fundamental Theorem of Calculus Basics. Retrieved October 31, 2020, from https://math.libretexts.org/Courses/Monroe_Community_College/MTH_210_Calculus_I/Chapter_5:_Integration/5.3:__The_Fundamental_Theorem_of_Calculus_Basics

Zegarelli, M. (2012). How the Area Function Works. Retrieved October 31, 2020, from https://www.dummies.com/education/math/calculus/how-the-area-function-works/

2 thoughts on “E-journal #7: The Fundamental Theorem of Calculus

  1. such a simple and easy to follow blog. though i haven’t studied calculus in MAAHL, at least with this knowledge i can understand what calculus in jc2 would look like. also who knew calculus is used in economics. ive always thought things in MAAHL was simply because the ibdp jusst hates us and simply wanted to torture us. but hey the more you know

    Liked by 1 person

Leave a comment

Design a site like this with WordPress.com
Get started